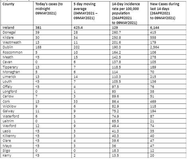
The Department of Health has reported no further Covid-19-related deaths and 381 new cases of the disease.
The number of patients in hospital as of 8am this morning was 124 , with 31 of those being treated in ICU.
There were 15 additional hospitalisations in the past 24 hours.
There has now been a total of 4,921 Covid-related deaths and a total of 253,189 confirmed cases in Ireland.
Today's cases involve 192 men and 188 women, with 77% under 45 years of age. The median age is 31-years-old.
There were 188 cases in Dublin, 39 in Donegal, 30 in Kildare, 13 in Limerick, 13 in Cork, 13 in Tipperary, 13 in Westmeath.
The remaining 72 cases were spread across 15 other counties.

We need your consent to load this rte-player contentWe use rte-player to manage extra content that can set cookies on your device and collect data about your activity. Please review their details and accept them to load the content.Manage Preferences
Hospital numbers continue to decline
At the peak of the third wave, there were 2,020 confirmed cases in hospitals on 18 January this year.
Today's number of 31 patients in ICU is the lowest number in ICU recorded this year.
The peak of ICU admissions was 221 on 24 January.
Meanwhile, latest figures show that over 1.8 million doses of Covid-19 vaccines were administered by the Health Service Executive up to last Saturday, 8 May.
So far, almost half a million people have been fully vaccinated.
To date, 140 doses of the singe-dose Johnson & Johnson (Janssen) vaccine have been administered.
In Northern Ireland there have been 76 positive Covid-19 cases, no deaths have been reported in the past 24 hours and 1,470,135 vaccines have been administered in total.